湖南2025高考成绩一分一段表及位次排名查询(完整版)
2025-06-25 09:51:04文/张哲湖南2025年高考一分一段表已经,考生可通过湖南教育考试院官网进行查询,以下是小编整理的2025年湖南高考一分一段表,大家可以看一看,通过一分一段表,考生可以了解自己的位次,参考往年录取数据,科学填报志愿,提高录取机会。

湖南2025高考成绩一分一段表(完整版)
以下是小编整理的2025湖南高考成绩一分一段表数据,大家可以参考。
2025湖南高考物理类成绩一分一段表:











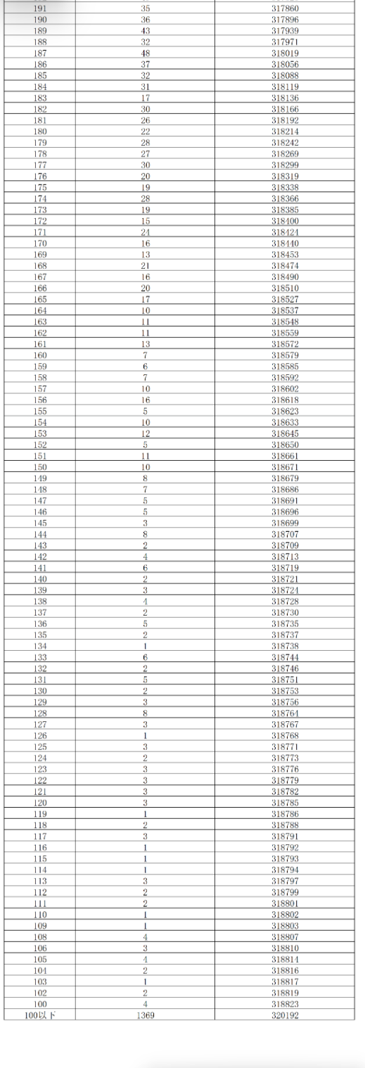
2024湖南高考历史类成绩一分一段表:












湖南高考成绩一分一段表怎么看位次
湖南高考成绩一分一段表是考生了解自己在全省考生中的排名和位次的重要工具。通过一分一段表,考生可以明确自己的排名位置,从而更合理地进行志愿填报。
获取一分一段表:
高考成绩公布后,湖南省教育考试院会发布一分一段表,考生可通过登录湖南省教育考试院官方网站获取。此外,考生也可关注“湖南招生考试信息网”获取权威动态。
定位分数与确定位次:
打开一分一段表,找到自己的高考分数所在的段,查看该分数对应的累计人数,这个累计人数即为考生的最低位次。若同一分数有较多考生,即“本段人数”较多,考生的实际排名区间为“累计人数-本段人数+1”至“累计人数”。
结合位次填报志愿:
考生可根据位次对比目标院校近三年的录取位次,判断录取可能性。例如,若某高校历史类往年录取最低排名在2000名左右,那么位次为1949名的考生报考该校被录取的概率较大。
考生可结合湖南高考一分一段表,规划出“冲、稳、保”的志愿梯度。根据自身排名,选择排名稍高、有一定挑战性的院校作为冲刺目标;选择排名相近、录取概率较大的院校作为稳妥选择;再选择排名较低、确保能被录取的院校作为保底,避免盲目报考。
2025湖南省一分一段表最新出炉 高考成绩分布表2025湖南省一分一段表已经公布,其中物理类687...
2025-06-25
湖南2025年高考体育类分数线公布 分数线是多少湖南2025年高考体育类分数线已经公布,其中物理类...
2025-06-24
2025湖南高考艺术类录取分数线最新公布 文化分是多少2025湖南高考艺术类录取分数线已经公布,其中高职...
2025-06-24
2025湖南高考录取分数线公布 各批次多少分 2025湖南高考各批次录取分数线已经公布,其中物理...
2025-06-24
2025湖南高考专科录取分数线公布:历史类200 物理类2002025湖南高考专科录取分数线已经公布,湖南高考物...
2025-06-24
2025湖南高考本科录取分数线公布:历史类446 物理类4052025湖南高考本科录取分数线已经公布,其中物理类...
2025-06-24
2025湖南高考专科志愿填报时间几月几号 附志愿填报详细指南 2025年湖南高考高职专科批志愿填报时间为8月4日...
2025-06-24
湖南提前批能报几个学校 2025湖南高考提前批学校名单和专业湖南高考提前批最多可以填45所学校。2025年湖南...
2025-06-24
湖南高考征集志愿2025填报时间 几号几点截止2025湖南高考征集志愿填报时间预计是在7月中旬开...
2025-06-24
湖南高考提前批志愿2025年填报时间 可以报几个学校和专业2025湖南高考提前批填报时间为,本科提前批是6月...
2025-06-24
湖南高考2025各批次志愿填报时间汇总 截止日期什么时候据悉,2025年湖南高考,6月26日-27日填报本...
2025-06-24
湖南高考志愿填报时间2025具体时间 填报系统入口网址湖南2025年高考志愿填报将于6月26日开始。考生...
2025-06-23
2025湖南高考历史类一分一段表出炉 最新位次排名2025湖南高考历史类一分一段表预计6月25日和湖...
2025-06-23
2025湖南高考成绩一分一段表出炉 最新位次排名【完整版】2025湖南高考成绩一分一段表预计6月25日左右公...
2025-06-23
湖南公布2025年高考分数线 各批次线一览表汇总2025年湖南实行新高考模式,将按照物理、历史类分...
2025-06-24
点击查看 湖南高考成绩查询 更多内容









