广东高考一分一段表公布 2025高考成绩位次排名查询
2025-06-26 18:57:01文/张哲高考一分一段表是高考成绩统计的重要工具,一分一段表通过将考生的分数从高到低排列,并以1分为单位进行统计,能够清晰地显示每个分数段内的考生人数和累计人数。小编整理了2025年广东高考一分一段表汇总,大家一起看一下!

2025广东高考一分一段表最新整理
一分一段表能看到考生的高考成绩在全省考生中的位次,考生可以通过查询自己的位次,参考往年各院校及专业的录取位次选择报考的院校及专业,这样被录取的机会很大的。
高考一分一段表一般是和高考成绩是同时公布的,2025广东高考一分一段表公布,以下是小编整理的2025广东高考一分一段表,大家可以看一下。
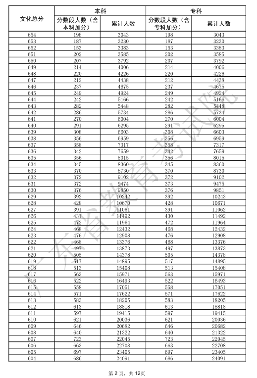
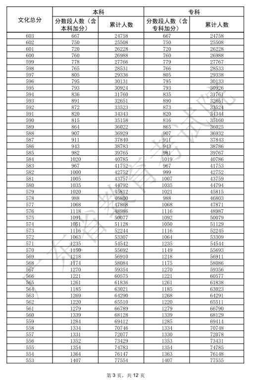
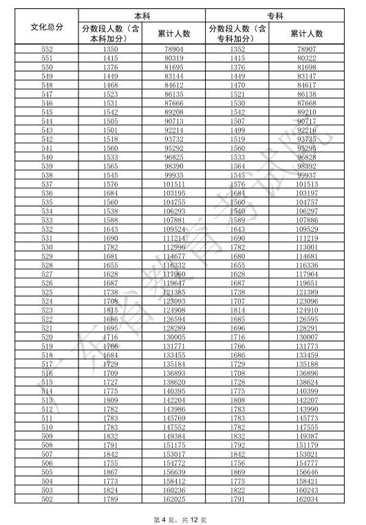
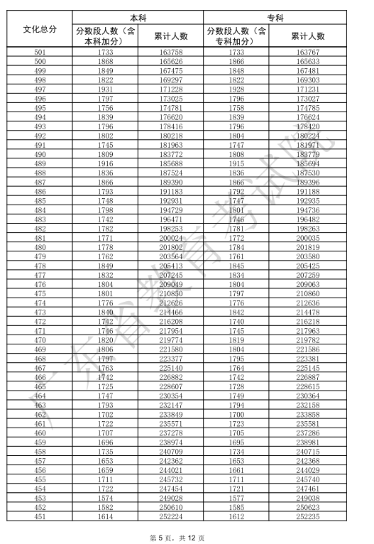
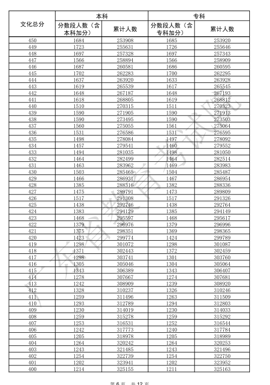
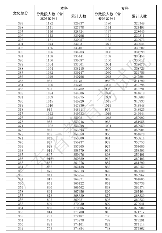
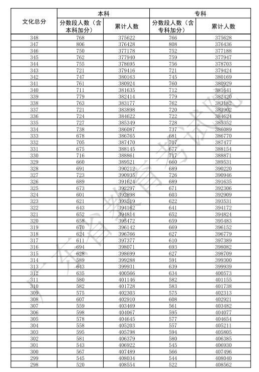
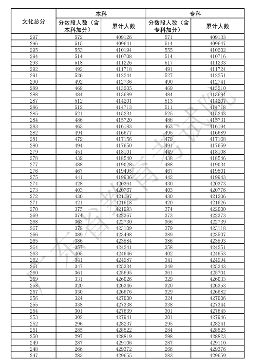
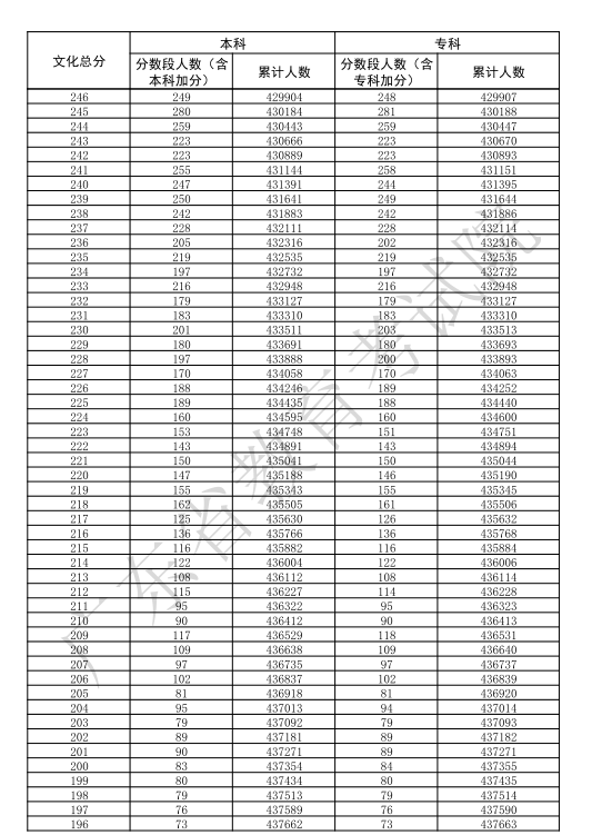
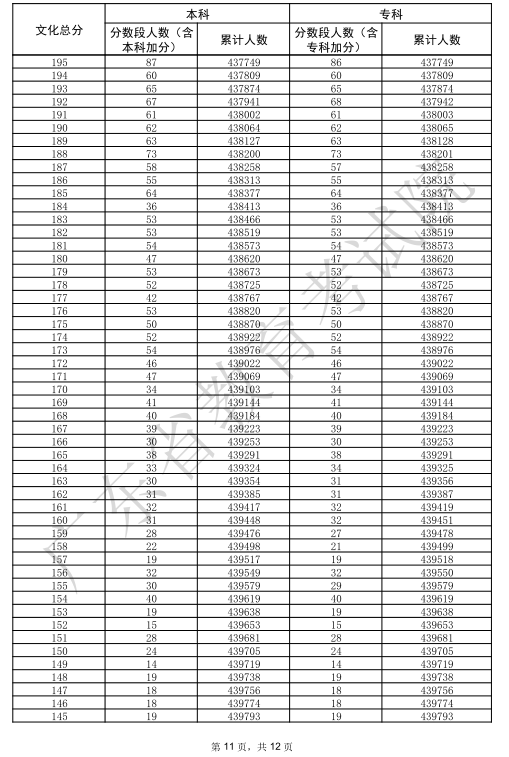
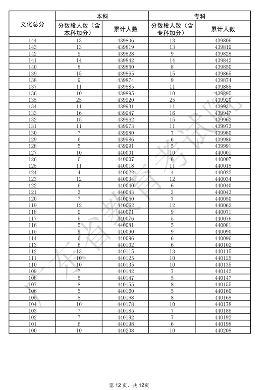
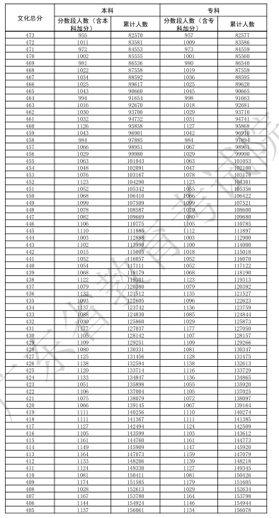
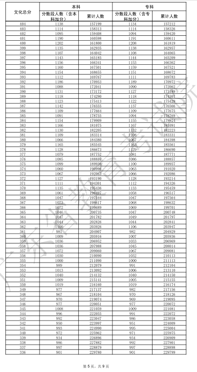
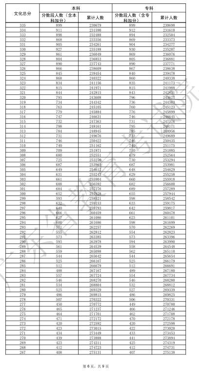
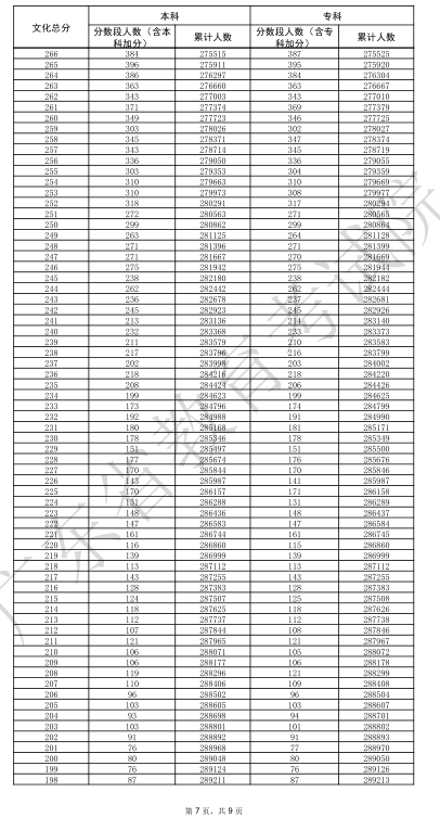
2025广东高考物理类一分一段整理:












2025广东高考历史类一分一段整理:









填报志愿时如何利用一分段表
1、在“一分一段表”中找准位置
通过一分一段表,考生可以知道自己的高考成绩在今年全省同科类考生中的位次(排名),再对比预填报学校往年校线分数所对应的位次,如果两个位次一致和相当,填报后录取的可能性就大;如果两者相差过大,落选的可能性就大。
找准位次,应该比单纯比较分数更准确。因此,考生不能仅凭分数填报志愿,而应充分利用“一分一段表”,以成绩排名作为填报参考。
2、看高校近三年的录取
对比一下近三年来的一分一段表,看看所想要填报的大学连续三四年的校线在哪个段位(即高出所在批次多少分),若自己的分数比至少两年的段位高,那报考该校把握较大。
一分一段表的作用
一分一段表,也被称为普通高招分数段统计表,是高考填报志愿前的重要参考工具。它以“1分”为单位,详细统计了每一分数段的考生人数及累计人数,为物理历史类考生分别排名,使考生能够一目了然地了解自己在全省或全市的排名情况。这一表格不仅有助于考生评估自身的成绩水平,还能为他们选择合适的学校和专业提供有力的支持。
分数段统计及排名
一分一段表详细统计了每个分数段的考生人数与累计人数,为考生提供全省或全市排名,便于评估成绩水平。在分数段统计表中,考生可以查看自己在不同分数区间内的位置,以及累计到自己分数段的总人数,从而对自己在整体考生中的位置有一个清晰的认识。
志愿选择的参考
在填报志愿时,考生可以充分利用一分一段表的信息。通过对比自己的分数和排名,结合前几年的录取情况,考生能更准确地做出志愿选择。同时,一分一段表也能帮助考生避免扎堆报考热门学校和专业,从而提高录取机会。
2025广东高考一分一段位次表 高考成绩排名最新【物理+历史】2025广东高考一分一段位次表已经公布,其中物理类...
2025-06-26
2025广东省一分一段表最新出炉 高考成绩分布表【历史类】2025广东省高考历史类一分一段表已经公布,其中本...
2025-06-26
2025广东省一分一段表最新出炉 高考成绩分布表【物理类】2025广东省高考物理类一分一段表已经公布,其中本...
2025-06-26
2025广东本科批征集志愿填报时间 截止时间几号几点2025年广东本科批征集志愿填报时间尚未公布,参考...
2025-06-26
广东高考征集志愿2025年填报时间 几号几点截止2025广东高考征集志愿预计从七月中旬开始进行填报...
2025-06-26
广东2025高考本科志愿填报时间及官方入口 填报流程是什么广东2025高考本科志愿填报时间:6月28日9:0...
2025-06-26
广东2025年高考艺术类分数线公布 分数线是多少广东2025年高考艺术类分数线已经公布,其中本科音...
2025-06-25
2025广东高考录取分数线公布 各批次多少分2025广东高考各批次录取分数线已经公布,其中特殊...
2025-06-25
2025广东高考专科录取分数线公布:历史类215 物理类2002025广东高考专科录取分数线已经公布,其中普通类...
2025-06-25
2025广东高考本科录取分数线公布:历史类436 物理类4642025广东高考本科录取分数线已经公布,其中普通类...
2025-06-25
2025广东高考专科志愿填报时间几月几号 附志愿填报详细指南2025年广东高考专科志愿填报时间预计为7月15日...
2025-06-24
广东提前批能报几个学校 2025广东高考提前批学校名单和专业广东高考提前批最多可以填20所学校。2025年广东...
2025-06-24
广东高考征集志愿2025填报时间 几号几点截止2025广东高考征集志愿填报时间预计是在7月中旬开...
2025-06-24
广东高考提前批志愿2025年填报时间 可以报几个学校和专业2025广东高考提前批填报时间为,本科提前批是6月...
2025-06-24
广东高考2025各批次志愿填报时间汇总 截止日期什么时候据悉,2025年广东高考志愿填报开始时间为:预计6...
2025-06-24
点击查看 广东高考成绩查询 更多内容









